FourLaplacian

Description

FourLaplacian[exp, p, q] is [Graphics:Images/index_gr_1.gif][Graphics:Images/index_gr_2.gif]exp.

[Graphics:Images/index_gr_3.gif]
[Graphics:Images/index_gr_4.gif]

See also: FourDivergence, RussianTrick.

Examples
[Graphics:Images/index_gr_5.gif]
[Graphics:Images/index_gr_6.gif]
[Graphics:Images/index_gr_7.gif]
[Graphics:Images/index_gr_8.gif]
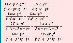
[Graphics:Images/index_gr_9.gif]
[Graphics:Images/index_gr_10.gif]
[Graphics:Images/index_gr_11.gif]
[Graphics:Images/index_gr_12.gif]


The FeynCalc Book   previousFourDivergence   nextFourVector

Converted from the Mathematica notebook FourLaplacian.nb