•Renormalization

The counterterm amplitude:

lala = ArgumentsSupply[Lagrangian[QED[2]], x, RenormalizationState[0]]

-δm^(0  ) Z _ 2^(0  ) Overscript[ψ^(0 ), _] . ψ^(0 ) - 1/4 (Z _ 3^(0  ) - 1) (∂ _ μ A^(0 ) _ ν^ó  - ∂ _ ν A^(0 ) _ μ^ó ) . (∂ _ μ A^(0 ) _ ν^ó  - ∂ _ ν A^(0 ) _ μ^ó ) + (Z _ 2^(0  ) - 1) (Overscript[ψ^(0 ), _] . γ^μ . (e^(0  ) A^(0 ) _ μ . ψ^(0 ) + i ∂ _ μ ψ^(0 ) _ ó ^ó ) - Overscript[ψ^(0 ), _] . ψ^(0 ) m _ ψ^(ó  0  ))

amp4 = -I FeynRule[lala, {QuantumField[DiracBar[Particle[Electron, RenormalizationState[0]]]][p2], QuantumField[Particle[Electron, RenormalizationState[0]]][p1]}] /. ParticleMass[Photon, ___] -> 0 /. p2 -> -p1 // Simplify

(Z _ 2^(0  ) - 1) (γ  ·  p _ 1 - m _ ψ^(ó  0  )) - δm^(0  ) Z _ 2^(0  )

The Dirac equation:

amp4OnShell = amp4 /. DiracGamma[Momentum[p1]] -> ParticleMass[Electron, RenormalizationState[0]] // Simplify

-δm^(0  ) Z _ 2^(0  )

We now add the two amplitudes and demand that the complete photon propagator to order e^2have the same pole position and residue as the bare propagator apart from gauge dependent terms (see e.g. Weinberg).  Thus we demand that  S'(p _ 1) have a pole at at γ p _ 1= m _ ψ with residue 1, where S'(p _ 1) = (γ p _ 1 - m _ ψ - sigmafull - i ϵ)^(-1):

sigmafull = (ampinfinitiesfull + amp4) // Collect[#, _IntegrateHeld] & // FullSimplify

1/8 (-8 δm^(0  ) Z _ 2^(0  ) + 8 m _ ψ^(ó  0  ) + 1/(π^4 p _ 1^2) (π^(D/2) (e^(0  ))^2 Γ(2 - D/2) ((Underoverscript[∫, 0, arg3] ((x - 1) (x p _ 1^2 - (m _ ψ^(ó  0  ))^2))^(D - 4)/2 d x) ((m _ ψ^(ó  0  ))^4 - 3 p _ 1^2 (m _ ψ^(ó  0  ))^2) - ((m _ ψ^(ó  0  ))^2)^(D/2)) μ^(4 - D) + π^2 (8 π^2 (Z _ 2^(0  ) - 1) γ  ·  p _ 1 p _ 1^2 + m _ ψ^(ó  0  ) ((e^(0  ))^2 m _ ψ^(ó  0  ) (p _ 1^2 - (m _ ψ^(ó  0  ))^2) - 8 π^2 Z _ 2^(0  ) p _ 1^2))))

sigmafull to to order e^2 is sigmafull-amp4OnShell-sigmafullOnShell, that is, sigmafull with δm^(0  ) Z _ 2^(0  )substituted with sigmafullOnShell (since it must cancel sigmafullOnShell).

We abbreviate sigmafull to sigmaint[δ] and sigmafullOnShell to sigmaint[0], and this is then the residue:

Clear[sigmaint] ; z2eqleft[δ_] = (DiracGamma[Momentum[p1]] - ParticleMass[Fermion[7], RenormalizationState[0]])/(DiracGamma[Momentum[p1]] - ParticleMass[Fermion[7], RenormalizationState[0]] - (Normal[Series[sigmaint[δ], {δ, 0, 2}]] + amp4 - amp4OnShell - sigmaint[0]))

(γ  ·  p _ 1 - m _ ψ^(ó  0  ))/(-1/2 sigmaint^''(0) δ^2 - sigmaint^'(0) δ + γ  ·  p _ 1 - (Z _ 2^(0  ) - 1) (γ  ·  p _ 1 - m _ ψ^(ó  0  )) - m _ ψ^(ó  0  ))

z2eqq = Limit[  (z2eqleft[δ] // ExpandGammas[#, TaylorOrder -> 2] & // DimensionExpand[#, TaylorOrder -> 1] &) /. DiracGamma[Momentum[p1]] -> ParticleMass[Fermion[7], RenormalizationState[0]] + δ /. IntegrateHeld -> Integrate, δ -> 0]

-1/(Z _ 2^(0  ) + sigmaint^'(0) - 2)

sigmasolve = Solve[z2eqq == 1, CouplingConstant[QED[2], 2, RenormalizationState[0]]] // Flatten

{Z _ 2^(0  ) -> 1 - sigmaint^'(0)}

This is then the value of Z _ 2 (infinite in the limit D->4) following form the demand that the residue be 1:

z2fin = CouplingConstant[QED[2], 2, RenormalizationState[0]] /. sigmasolve /. {sigmaint '[0] -> (∂ _ δ (ampinfinitiesfull /. Pair[Momentum[p1], Momentum[p1]] -> (ParticleMass[Electron, RenormalizationState[0]] + δ)^2) /. δ -> 0)} // FullSimplify

1/(4 π^4 (m _ ψ^(ó  0  ))^3) (μ^(-D) (4 π^4 μ^D (m _ ψ^(ó  0  ))^3 - (e^(0  ))^2 (π^(D/2) μ^4 Γ(2 - D/2) ((m _ ψ^(ó  0  ))^2)^(D/2) + π^2 μ^D (m _ ψ^(ó  0  ))^4 - π^(D/2) μ^4 Γ(2 - D/2) Underoverscript[∫, 0, arg3] ((x - 1)^2 (m _ ψ^(ó  0  ))^2)^(D/2)/(x - 1)^4 d x + 2 π^(D/2) μ^4 Γ(3 - D/2) Underoverscript[∫, 0, arg3] (x ((x - 1)^2 (m _ ψ^(ó  0  ))^2)^(D/2))/(x - 1)^5 d x)))

Since Z _ 2 is of the form 1-O(e^2), to have -δm^(0  ) Z _ 2^(0  )cancel sigmafullOnShell to order e^2, δm^(0  ) Z _ 2^(0  ) must be simply sigmafullOnShell:

The scalar integral with the above values inserted and the limit D->4 taken.  The ultraviolet (dimensional) infinities have cancelled, but infrared divergencies remain:

sigmaint = sigmafull /. -amp4OnShell -> sigmafullOnShell /. {CouplingConstant[QED[2], 2, RenormalizationState[0]] -> z2fin} // ExpandGammas[#, TaylorOrder -> 2] & // DimensionExpand[#, TaylorOrder -> 1, Dimension -> D] & // Simplify

1/8 (1/(4 (D - 4) π^2) ((÷J (D - 4) + 2) (e^(0  ))^2 (log(π) D - 4 log(π) + 2) ((D - 4) log(μ) - 1) (2 i π D - 4 D + 2 (D - 4) log(-(m _ ψ^(ó  0  ))^2) + (D - 4) log((m _ ψ^(ó  0  ))^2) - 8 i π + 22) (m _ ψ^(ó  0  ))^2) + 8 m _ ψ^(ó  0  ) + 1/(2 π^2 p _ 1^2) ((-÷J - 2/(D - 4)) (log(π) (D - 4) + 2) (1 - (D - 4) log(μ)) (-1/2 (D - 4) log((m _ ψ^(ó  0  ))^2) (m _ ψ^(ó  0  ))^4 - (m _ ψ^(ó  0  ))^4 + (1/2 (D - 4) Underoverscript[∫, 0, arg3] log((x - 1) (x p _ 1^2 - (m _ ψ^(ó  0  ))^2)) d x + 1) ((m _ ψ^(ó  0  ))^4 - 3 p _ 1^2 (m _ ψ^(ó  0  ))^2)) (e^(0  ))^2 + 2 (8 π^2 γ  ·  p _ 1 p _ 1^2 (1/(16 π^2) ((1 - (D - 4) log(μ)) (16 π^2 ((D - 4) log(μ) + 1) - (e^(0  ))^2 (2 (Underoverscript[∫, 0, arg3] (x ((D - 4) log((x - 1)^2 (m _ ψ^(ó  0  ))^2) + 2))/(x - 1) d x) (log(π) (D - 4) + 2) + ((÷J (D - 4) + 2) ((D - 4) Underoverscript[∫, 0, arg3] log((x - 1)^2 (m _ ψ^(ó  0  ))^2) d x + 2) (log(π) D - 4 log(π) + 2))/(D - 4) + 4 ((D - 4) log(μ) + 1) - ((÷J (D - 4) + 2) (log(π) D - 4 log(π) + 2) ((D - 4) log((m _ ψ^(ó  0  ))^2) + 2))/(D - 4)) m _ ψ^(ó  0  ))) - 1) + m _ ψ^(ó  0  ) ((e^(0  ))^2 m _ ψ^(ó  0  ) (p _ 1^2 - (m _ ψ^(ó  0  ))^2) - 1/2 (1 - (D - 4) log(μ)) p _ 1^2 (16 π^2 ((D - 4) log(μ) + 1) - (e^(0  ))^2 (2 (Underoverscript[∫, 0, arg3] (x ((D - 4) log((x - 1)^2 (m _ ψ^(ó  0  ))^2) + 2))/(x - 1) d x) (log(π) (D - 4) + 2) + ((÷J (D - 4) + 2) ((D - 4) Underoverscript[∫, 0, arg3] log((x - 1)^2 (m _ ψ^(ó  0  ))^2) d x + 2) (log(π) D - 4 log(π) + 2))/(D - 4) + 4 ((D - 4) log(μ) + 1) - ((÷J (D - 4) + 2) (log(π) D - 4 log(π) + 2) ((D - 4) log((m _ ψ^(ó  0  ))^2) + 2))/(D - 4)) m _ ψ^(ó  0  ))))))

slim = sigmaint /. IntegrateHeld[a_, b__] /; FreeQ[a, Log | x^4] :> Integrate[a, b] /. D -> 4 - δ // Simplify

1/8 (((÷J δ - 2) (e^(0  ))^2 (δ log(π) - 2) (δ log(μ) + 1) (-2 log(-(m _ ψ^(ó  0  ))^2) δ - log((m _ ψ^(ó  0  ))^2) δ - 2 i π δ + 4 δ + 6) (m _ ψ^(ó  0  ))^2)/(4 π^2 δ) + 8 m _ ψ^(ó  0  ) + 1/(2 π^2 p _ 1^2) ((2/δ - ÷J) (2 - δ log(π)) (δ log(μ) + 1) (1/2 δ log((m _ ψ^(ó  0  ))^2) (m _ ψ^(ó  0  ))^4 - (m _ ψ^(ó  0  ))^4 + (1 - 1/2 δ Underoverscript[∫, 0, arg3] log((x - 1) (x p _ 1^2 - (m _ ψ^(ó  0  ))^2)) d x) ((m _ ψ^(ó  0  ))^4 - 3 p _ 1^2 (m _ ψ^(ó  0  ))^2)) (e^(0  ))^2 + 2 (8 π^2 γ  ·  p _ 1 p _ 1^2 (1/(16 π^2) ((δ log(μ) + 1) (-(((÷J δ - 2) (δ Underoverscript[∫, 0, arg3] log((x - 1)^2 (m _ ψ^(ó  0  ))^2) d x - 2) (δ log(π) - 2))/δ - 2 (Underoverscript[∫, 0, arg3] (x (2 - δ log((x - 1)^2 (m _ ψ^(ó  0  ))^2)))/(x - 1) d x) (δ log(π) - 2) - ((÷J δ - 2) (δ log((m _ ψ^(ó  0  ))^2) - 2) (δ log(π) - 2))/δ - 4 δ log(μ) + 4) m _ ψ^(ó  0  ) (e^(0  ))^2 - 16 π^2 (δ log(μ) - 1))) - 1) + m _ ψ^(ó  0  ) ((e^(0  ))^2 m _ ψ^(ó  0  ) (p _ 1^2 - (m _ ψ^(ó  0  ))^2) - 1/2 (δ log(μ) + 1) p _ 1^2 (-(((÷J δ - 2) (δ Underoverscript[∫, 0, arg3] log((x - 1)^2 (m _ ψ^(ó  0  ))^2) d x - 2) (δ log(π) - 2))/δ - 2 (Underoverscript[∫, 0, arg3] (x (2 - δ log((x - 1)^2 (m _ ψ^(ó  0  ))^2)))/(x - 1) d x) (δ log(π) - 2) - ((÷J δ - 2) (δ log((m _ ψ^(ó  0  ))^2) - 2) (δ log(π) - 2))/δ - 4 δ log(μ) + 4) m _ ψ^(ó  0  ) (e^(0  ))^2 - 16 π^2 (δ log(μ) - 1))))))

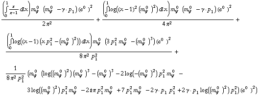
sigmaren = Limit[slim, δ -> 0] // Simplify // Collect[#, _IntegrateHeld] & // Cancel

((Underoverscript[∫, 0, arg3] x/(x - 1) d x) m _ ψ^(ó  0  ) (m _ ψ^(ó  0  ) - γ  ·  p _ 1) (e^(0  ))^2)/(2 π^2) + ((Underoverscript[∫, 0, arg3] log((x - 1)^2 (m _ ψ^(ó  0  ))^2) d x) m _ ψ^(ó  0  ) (m _ ψ^(ó  0  ) - γ  ·  p _ 1) (e^(0  ))^2)/(4 π^2) + ((Underoverscript[∫, 0, arg3] log((x - 1) (x p _ 1^2 - (m _ ψ^(ó  0  ))^2)) d x) m _ ψ^(ó  0  ) (3 p _ 1^2 m _ ψ^(ó  0  ) - (m _ ψ^(ó  0  ))^3) (e^(0  ))^2)/(8 π^2 p _ 1^2) + 1/(8 π^2 p _ 1^2) (m _ ψ^(ó  0  ) (log((m _ ψ^(ó  0  ))^2) (m _ ψ^(ó  0  ))^3 - (m _ ψ^(ó  0  ))^3 - 2 log(-(m _ ψ^(ó  0  ))^2) p _ 1^2 m _ ψ^(ó  0  ) - 3 log((m _ ψ^(ó  0  ))^2) p _ 1^2 m _ ψ^(ó  0  ) - 2 i π p _ 1^2 m _ ψ^(ó  0  ) + 7 p _ 1^2 m _ ψ^(ó  0  ) - 2 γ  ·  p _ 1 p _ 1^2 + 2 γ  ·  p _ 1 log((m _ ψ^(ó  0  ))^2) p _ 1^2) (e^(0  ))^2)


Converted by Mathematica  (July 10, 2003)