Hill

Description

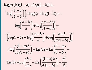
Hill[x, y] gives the Hill identity with arguments x and y. The returned object is 0.

See also: SimplifyPolyLog.

Examples
[Graphics:Images/index_gr_1.gif]
[Graphics:Images/index_gr_2.gif]
[Graphics:Images/index_gr_3.gif]
[Graphics:Images/index_gr_4.gif]
[Graphics:Images/index_gr_5.gif]
[Graphics:Images/index_gr_6.gif]
[Graphics:Images/index_gr_7.gif]
[Graphics:Images/index_gr_8.gif]


The FeynCalc Book   previousGstrong   nextHypergeometricAC

Converted from the Mathematica notebook Hill.nb